Beta
ホーム
私たちについて
Neuro Quest|過去問ダンジョン
FAQ
ホーム
過去問ダンジョン
第二種電気工事士
2022年度 過去問解説
第二種電気工事士
/
2022年度 過去問解説
問27
検査・測定
前の問題
問題
27
/ 50
タップで一覧
次の問題
出典
令和4年度 第二種電気工事士試験(上期・午後)
問 27
問題マップ
誤り・バグを報告
イ
ロ
ハ
ニ
回答を確定する
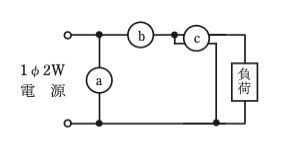
図の交流回路は、負荷の電圧、電流、電力を測定する回路である。図中にa, b, cで示す計器の組合せとして、正しいものは。
a 電流計、b 電圧計、c 電力計
a 電力計、b 電流計、c 電圧計
a 電圧計、b 電力計、c 電流計
a 電圧計、b 電流計、c 電力計